二叉树题目的递归解法可以分两类思路,第一类是遍历一遍二叉树得出答案,第二类是通过分解问题计算出答案,这两类思路分别对应着 回溯算法核心框架 和 动态规划核心框架。
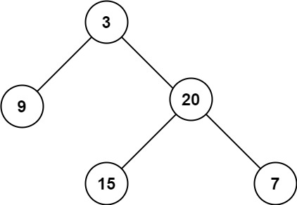
力扣第 104 题「二叉树的最大深度」就是最大深度的题目,所谓最大深度就是根节点到「最远」叶子节点的最长路径上的节点数,比如输入这棵二叉树,算法应该返回 3:

你做这题的思路是什么?显然遍历一遍二叉树,用一个外部变量记录每个节点所在的深度,取最大值就可以得到最大深度,这就是遍历二叉树计算答案的思路
// 记录最大深度
int res = 0;
// 记录遍历到的节点的深度
int depth = 0;
// 主函数
int maxDepth(TreeNode root) {
traverse(root);
return res;
}
// 二叉树遍历框架
void traverse(TreeNode root) {
if (root == null) {
return;
}
// 前序位置
depth++;
if (root.left == null && root.right == null) {
// 到达叶子节点,更新最大深度
res = Math.max(res, depth);
}
traverse(root.left);
traverse(root.right);
// 后序位置
depth--;
}
作者的可视化: 东哥带你刷二叉树(纲领篇) | labuladong 的算法笔记
这个解法应该很好理解,但为什么需要在前序位置增加 depth,在后序位置减小 depth?
因为前面说了,前序位置是进入一个节点的时候,后序位置是离开一个节点的时候,depth 记录当前递归到的节点深度,你把 traverse 理解成在二叉树上游走的一个指针,所以当然要这样维护。
至于对 res 的更新,你放到前中后序位置都可以,只要保证在进入节点之后,离开节点之前(即 depth 自增之后,自减之前)就行了。
当然,你也很容易发现一棵二叉树的最大深度可以通过子树的最大深度推导出来,这就是分解问题计算答案的思路。
// 定义:输入根节点,返回这棵二叉树的最大深度
int maxDepth(TreeNode root) {
if (root == null) {
return 0;
}
// 利用定义,计算左右子树的最大深度
int leftMax = maxDepth(root.left);
int rightMax = maxDepth(root.right);
// 整棵树的最大深度等于左右子树的最大深度取最大值,
// 然后再加上根节点自己
int res = Math.max(leftMax, rightMax) + 1;
return res;
}
东哥带你刷二叉树(纲领篇) | labuladong 的算法笔记
只要明确递归函数的定义,这个解法也不难理解,但为什么主要的代码逻辑集中在后序位置?
因为这个思路正确的核心在于,你确实可以通过子树的最大深度推导出原树的深度,所以当然要首先利用递归函数的定义算出左右子树的最大深度,然后推出原树的最大深度,主要逻辑自然放在后序位置。
如果你理解了最大深度这个问题的两种思路,那么我们再回头看看最基本的二叉树前中后序遍历,就比如算前序遍历结果吧。
我们熟悉的解法就是用「遍历」的思路,我想应该没什么好说的:
List<Integer> res = new LinkedList<>();
// 返回前序遍历结果
List<Integer> preorderTraverse(TreeNode root) {
traverse(root);
return res;
}
// 二叉树遍历函数
void traverse(TreeNode root) {
if (root == null) {
return;
}
// 前序位置
res.add(root.val);
traverse(root.left);
traverse(root.right);
}
但你是否能够用「分解问题」的思路,来计算前序遍历的结果?
换句话说,不要用像 traverse 这样的辅助函数和任何外部变量,单纯用题目给的 preorderTraverse 函数递归解题,你会不会?
我们知道前序遍历的特点是,根节点的值排在首位,接着是左子树的前序遍历结果,最后是右子树的前序遍历结果:

那这不就可以分解问题了么,一棵二叉树的前序遍历结果 = 根节点 + 左子树的前序遍历结果 + 右子树的前序遍历结果。
// 定义:输入一棵二叉树的根节点,返回这棵树的前序遍历结果
List<Integer> preorderTraverse(TreeNode root) {
List<Integer> res = new LinkedList<>();
if (root == null) {
return res;
}
// 前序遍历的结果,root.val 在第一个
res.add(root.val);
// 利用函数定义,后面接着左子树的前序遍历结果
res.addAll(preorderTraverse(root.left));
// 利用函数定义,最后接着右子树的前序遍历结果
res.addAll(preorderTraverse(root.right));
return res;
}
中序和后序遍历也是类似的,只要把 add(root.val) 放到中序和后序对应的位置就行了。
这个解法短小精干,但为什么不常见呢?
一个原因是这个算法的复杂度不好把控,比较依赖语言特性。
Java 的话无论 ArrayList 还是 LinkedList,addAll 方法的复杂度都是 O(N),所以总体的最坏时间复杂度会达到 O(N^2),除非你自己实现一个复杂度为 O(1) 的 addAll 方法,底层用链表的话是可以做到的,因为多条链表只要简单的指针操作就能连接起来。
当然,最主要的原因还是因为教科书上从来没有这么教过……
上文举了两个简单的例子,但还有不少二叉树的题目是可以同时使用两种思路来思考和求解的,这就要靠你自己多去练习和思考,不要仅仅满足于一种熟悉的解法思路。
综上,遇到一道二叉树的题目时的通用思考过程是:
1、是否可以通过遍历一遍二叉树得到答案?如果可以,用一个 traverse 函数配合外部变量来实现。
2、是否可以定义一个递归函数,通过子问题(子树)的答案推导出原问题的答案?如果可以,写出这个递归函数的定义,并充分利用这个函数的返回值。
3、无论使用哪一种思维模式,你都要明白二叉树的每一个节点需要做什么,需要在什么时候(前中后序)做。