判断是否包含环
判断链表是否包含环属于经典问题了,解决方案也是用快慢指针:
每当慢指针 slow 前进一步,快指针 fast 就前进两步。
如果 fast 最终遇到空指针,说明链表中没有环;如果 fast 最终和 slow 相遇,那肯定是 fast 超过了 slow 一圈,说明链表中含有环。
boolean hasCycle(ListNode head) {
// 快慢指针初始化指向 head
ListNode slow = head, fast = head;
// 快指针走到末尾时停止
while (fast != null && fast.next != null) {
// 慢指针走一步,快指针走两步
slow = slow.next;
fast = fast.next.next;
// 快慢指针相遇,说明含有环
if (slow == fast) {
return true;
}
}
// 不包含环
return false;
}
双指针技巧秒杀七道链表题目 | labuladong 的算法笔记
主要思考下,为何有环,快慢指针一定会相遇?相遇时间长吗?
判断环的起点
当然,这个问题还有进阶版,也是力扣第 142 题环形链表 II
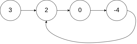
比如一下环的起点为 2

class Solution {
public ListNode detectCycle(ListNode head) {
ListNode fast, slow;
fast = slow = head;
while (fast != null && fast.next != null) {
fast = fast.next.next;
slow = slow.next;
if (fast == slow) break;
}
// 上面的代码类似 hasCycle 函数
if (fast == null || fast.next == null) {
// fast 遇到空指针说明没有环
return null;
}
// 重新指向头结点
slow = head;
// 快慢指针同步前进,相交点就是环起点
while (slow != fast) {
fast = fast.next;
slow = slow.next;
}
return slow;
}
}
代码可视化:
双指针技巧秒杀七道链表题目 | labuladong 的算法笔记
当快慢指针相遇时,让其中任一个指针指向头节点,然后让它俩以相同速度前进,再次相遇时所在的节点位置就是环开始的位置。
这里进行了分析: 为何快慢指针在环里一定相遇?