这个问题有意思,也是力扣第 160 题「相交链表」
摘要分析:
给你输入两个链表的头结点 headA 和 headB,这两个链表可能存在相交。
如果相交,你的算法应该返回相交的那个节点;如果没相交,则返回 null。
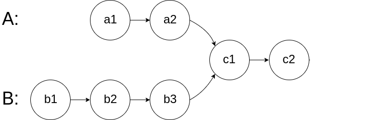
比如题目给我们举的例子,如果输入的两个链表如下图:

那么我们的算法应该返回 c1 这个节点。
这个题直接的想法可能是用 HashSet 记录一个链表的所有节点,然后和另一条链表对比,但这就需要额外的空间。
如果不用额外的空间,只使用两个指针,你如何做呢?
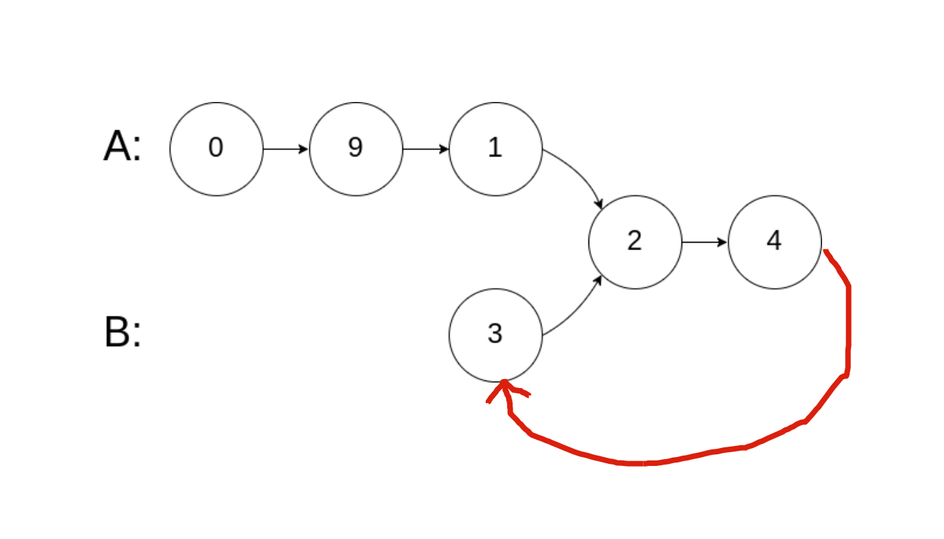
难点在于,由于两条链表的长度可能不同,两条链表之间的节点无法对应:

如果用两个指针 p1 和 p2 分别在两条链表上前进,并不能同时走到公共节点,也就无法得到相交节点 c1。
解决这个问题的关键是,通过某些方式,让 p1 和 p2 能够同时到达相交节点 c1。
所以,我们可以让 p1 遍历完链表 A 之后开始遍历链表 B,让 p2 遍历完链表 B 之后开始遍历链表 A,这样相当于「逻辑上」两条链表接在了一起。
如果这样进行拼接,就可以让 p1 和 p2 同时进入公共部分,也就是同时到达相交节点 c1:

那你可能会问,如果说两个链表没有相交点,是否能够正确的返回 null 呢?
这个逻辑可以覆盖这种情况的,相当于 c1 节点是 null 空指针嘛,可以正确返回 null。
ListNode getIntersectionNode(ListNode headA, ListNode headB) {
// p1 指向 A 链表头结点,p2 指向 B 链表头结点
ListNode p1 = headA, p2 = headB;
while (p1 != p2) {
// p1 走一步,如果走到 A 链表末尾,转到 B 链表
if (p1 == null) p1 = headB;
else p1 = p1.next;
// p2 走一步,如果走到 B 链表末尾,转到 A 链表
if (p2 == null) p2 = headA;
else p2 = p2.next;
}
return p1;
}
代码可视化:
双指针技巧秒杀七道链表题目 | labuladong 的算法笔记
这样,这道题就解决了,空间复杂度为 O(1),时间复杂度为 O(N)。
以上就是单链表的所有技巧,希望对你有启发。
拓展:
如果把两条链表首尾相连,那么「寻找两条链表的交点」的问题转换成了前面讲的「寻找环起点」的问题:

不过需要注意的是,这道题说不让你改变原始链表的结构,所以你把题目输入的链表转化成环形链表求解之后记得还要改回来,否则无法通过。
另外,还有读者提到,既然「寻找两条链表的交点」的核心在于让 p1 和 p2 两个指针能够同时到达相交节点 c1,那么可以通过预先计算两条链表的长度来做到这一点,具体代码如下:
public ListNode getIntersectionNode(ListNode headA, ListNode headB) {
int lenA = 0, lenB = 0;
// 计算两条链表的长度
for (ListNode p1 = headA; p1 != null; p1 = p1.next) {
lenA++;
}
for (ListNode p2 = headB; p2 != null; p2 = p2.next) {
lenB++;
}
// 让 p1 和 p2 到达尾部的距离相同
ListNode p1 = headA, p2 = headB;
if (lenA > lenB) {
for (int i = 0; i < lenA - lenB; i++) {
p1 = p1.next;
}
} else {
for (int i = 0; i < lenB - lenA; i++) {
p2 = p2.next;
}
}
// 看两个指针是否会相同,p1 == p2 时有两种情况:
// 1、要么是两条链表不相交,他俩同时走到尾部空指针
// 2、要么是两条链表相交,他俩走到两条链表的相交点
while (p1 != p2) {
p1 = p1.next;
p2 = p2.next;
}
return p1;
}
时间复杂度是还是 O(N),而且会更容易理解一些。