本文是7天用Go从零实现分布式缓存GeeCache教程系列的第一篇。
- 介绍常用的三种缓存淘汰(失效)算法:FIFO,LFU 和 LRU
- 实现 LRU 缓存淘汰算法,代码约80行
1 FIFO/LFU/LRU 算法简介
GeeCache 的缓存全部存储在内存中,内存是有限的,因此不可能无限制地添加数据。假定我们设置缓存能够使用的内存大小为 N,那么在某一个时间点,添加了某一条缓存记录之后,占用内存超过了 N,这个时候就需要从缓存中移除一条或多条数据了。那移除谁呢?我们肯定希望尽可能移除“没用”的数据,那如何判定数据“有用”还是“没用”呢?
1.1 FIFO(First In First Out)
先进先出,也就是淘汰缓存中最老(最早添加)的记录。FIFO 认为,最早添加的记录,其不再被使用的可能性比刚添加的可能性大。这种算法的实现也非常简单,创建一个队列,新增记录添加到队尾,每次内存不够时,淘汰队首。但是很多场景下,部分记录虽然是最早添加但也最常被访问,而不得不因为呆的时间太长而被淘汰。这类数据会被频繁地添加进缓存,又被淘汰出去,导致缓存命中率降低。
1.2 LFU(Least Frequently Used)
最少使用,也就是淘汰缓存中访问频率最低的记录。LFU 认为,如果数据过去被访问多次,那么将来被访问的频率也更高。LFU 的实现需要维护一个按照访问次数排序的队列,每次访问,访问次数加1,队列重新排序,淘汰时选择访问次数最少的即可。LFU 算法的命中率是比较高的,但缺点也非常明显,维护每个记录的访问次数,对内存的消耗是很高的;另外,如果数据的访问模式发生变化,LFU 需要较长的时间去适应,也就是说 LFU 算法受历史数据的影响比较大。例如某个数据历史上访问次数奇高,但在某个时间点之后几乎不再被访问,但因为历史访问次数过高,而迟迟不能被淘汰。
1.3 LRU(Least Recently Used)
最近最少使用,相对于仅考虑时间因素的 FIFO 和仅考虑访问频率的 LFU,LRU 算法可以认为是相对平衡的一种淘汰算法。LRU 认为,如果数据最近被访问过,那么将来被访问的概率也会更高。LRU 算法的实现非常简单,维护一个队列,如果某条记录被访问了,则移动到队尾,那么队首则是最近最少访问的数据,淘汰该条记录即可。
2 LRU 算法实现
2.1 核心数据结构

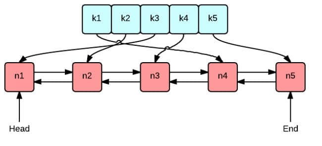
这张图很好地表示了 LRU 算法最核心的 2 个数据结构
- 绿色的是字典(map),存储键和值的映射关系。这样根据某个键(key)查找对应的值(value)的复杂是
O(1),在字典中插入一条记录的复杂度也是O(1)。 - 红色的是双向链表(double linked list)实现的队列。将所有的值放到双向链表中,这样,当访问到某个值时,将其移动到队尾的复杂度是
O(1),在队尾新增一条记录以及删除一条记录的复杂度均为O(1)。
接下来我们创建一个包含字典和双向链表的结构体类型 Cache,方便实现后续的增删查改操作。
day1-lru/geecache/lru/lru.go - github
package lru
import "container/list"
// Cache is a LRU cache. It is not safe for concurrent access.
type Cache struct {
maxBytes int64
nbytes int64
ll *list.List
cache map[string]*list.Element
// optional and executed when an entry is purged.
OnEvicted func(key string, value Value)
}
type entry struct {
key string
value Value
}
// Value use Len to count how many bytes it takes
type Value interface {
Len() int
}- 在这里我们直接使用 Go 语言标准库实现的双向链表
list.List。 - 字典的定义是
map[string]*list.Element,键是字符串,值是双向链表中对应节点的指针。 maxBytes是允许使用的最大内存,nbytes是当前已使用的内存,OnEvicted是某条记录被移除时的回调函数,可以为 nil。- 键值对
entry是双向链表节点的数据类型,在链表中仍保存每个值对应的 key 的好处在于,淘汰队首节点时,需要用 key 从字典中删除对应的映射。 - 为了通用性,我们允许值是实现了
Value接口的任意类型,该接口只包含了一个方法Len() int,用于返回值所占用的内存大小。
方便实例化 Cache,实现 New() 函数:
// New is the Constructor of Cache
func New(maxBytes int64, onEvicted func(string, Value)) *Cache {
return &Cache{
maxBytes: maxBytes,
ll: list.New(),
cache: make(map[string]*list.Element),
OnEvicted: onEvicted,
}
}2.2 查找功能
查找主要有 2 个步骤,第一步是从字典中找到对应的双向链表的节点,第二步,将该节点移动到队尾。
// Get look ups a key's value
func (c *Cache) Get(key string) (value Value, ok bool) {
if ele, ok := c.cache[key]; ok {
c.ll.MoveToFront(ele)
kv := ele.Value.(*entry)
return kv.value, true
}
return
}- 如果键对应的链表节点存在,则将对应节点移动到队尾,并返回查找到的值。
c.ll.MoveToFront(ele),即将链表中的节点ele移动到队尾(双向链表作为队列,队首队尾是相对的,在这里约定 front 为队尾)
2.3 删除
这里的删除,实际上是缓存淘汰。即移除最近最少访问的节点(队首)
// RemoveOldest removes the oldest item
func (c *Cache) RemoveOldest() {
ele := c.ll.Back()
if ele != nil {
c.ll.Remove(ele)
kv := ele.Value.(*entry)
delete(c.cache, kv.key)
c.nbytes -= int64(len(kv.key)) + int64(kv.value.Len())
if c.OnEvicted != nil {
c.OnEvicted(kv.key, kv.value)
}
}
}c.ll.Back()取到队首节点,从链表中删除。delete(c.cache, kv.key),从字典中c.cache删除该节点的映射关系。- 更新当前所用的内存
c.nbytes。 - 如果回调函数
OnEvicted不为 nil,则调用回调函数。
2.4 新增/修改
// Add adds a value to the cache.
func (c *Cache) Add(key string, value Value) {
if ele, ok := c.cache[key]; ok {
c.ll.MoveToFront(ele)
kv := ele.Value.(*entry)
c.nbytes += int64(value.Len()) - int64(kv.value.Len())
kv.value = value
} else {
ele := c.ll.PushFront(&entry{key, value})
c.cache[key] = ele
c.nbytes += int64(len(key)) + int64(value.Len())
}
for c.maxBytes != 0 && c.maxBytes < c.nbytes {
c.RemoveOldest()
}
}- 如果键存在,则更新对应节点的值,并将该节点移到队尾。
- 不存在则是新增场景,首先队尾添加新节点
&entry{key, value}, 并字典中添加 key 和节点的映射关系。 - 更新
c.nbytes,如果超过了设定的最大值c.maxBytes,则移除最少访问的节点。
最后,为了方便测试,我们实现 Len() 用来获取添加了多少条数据。
// Len the number of cache entries
func (c *Cache) Len() int {
return c.ll.Len()
}3 测试
例如,我们可以尝试添加几条数据,测试 Get 方法
day1-lru/geecache/lru/lru_test.go - github
type String string
func (d String) Len() int {
return len(d)
}
func TestGet(t *testing.T) {
lru := New(int64(0), nil)
lru.Add("key1", String("1234"))
if v, ok := lru.Get("key1"); !ok || string(v.(String)) != "1234" {
t.Fatalf("cache hit key1=1234 failed")
}
if _, ok := lru.Get("key2"); ok {
t.Fatalf("cache miss key2 failed")
}
}测试,当使用内存超过了设定值时,是否会触发“无用”节点的移除:
func TestRemoveoldest(t *testing.T) {
k1, k2, k3 := "key1", "key2", "k3"
v1, v2, v3 := "value1", "value2", "v3"
cap := len(k1 + k2 + v1 + v2)
lru := New(int64(cap), nil)
lru.Add(k1, String(v1))
lru.Add(k2, String(v2))
lru.Add(k3, String(v3))
if _, ok := lru.Get("key1"); ok || lru.Len() != 2 {
t.Fatalf("Removeoldest key1 failed")
}
}测试回调函数能否被调用:
func TestOnEvicted(t *testing.T) {
keys := make([]string, 0)
callback := func(key string, value Value) {
keys = append(keys, key)
}
lru := New(int64(10), callback)
lru.Add("key1", String("123456"))
lru.Add("k2", String("k2"))
lru.Add("k3", String("k3"))
lru.Add("k4", String("k4"))
expect := []string{"key1", "k2"}
if !reflect.DeepEqual(expect, keys) {
t.Fatalf("Call OnEvicted failed, expect keys equals to %s", expect)
}
}